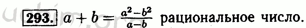
293 номер алгебра 10 класс

293 номер алгебра 10 класс. Алимов алгебра 10 класс контрольная логарифмы. Алимов алгебра 10-11 класс логарифмы контрольная. Математика 10 класс алгебра алимов. Алгебра 10 класс номер 167.
293 номер алгебра 10 класс. Алимов алгебра 10 класс контрольная логарифмы. Алимов алгебра 10-11 класс логарифмы контрольная. Математика 10 класс алгебра алимов. Алгебра 10 класс номер 167.
Алгебра 9 класс номер 293. Алгебра номер 77. Алгебра номер 53. Формулы по алгебре 10 класс алимов. Алгебра девятый класс номер 291.
Алгебра 9 класс номер 293. Алгебра номер 77. Алгебра номер 53. Формулы по алгебре 10 класс алимов. Алгебра девятый класс номер 291.
293 номер алгебра 10 класс. Гдз 8 класс алгебра никольский номер 293. Алгебра 10 класс алимов номер 293. Алгебра номер 93. Самый сложный пример 11 класса.
293 номер алгебра 10 класс. Гдз 8 класс алгебра никольский номер 293. Алгебра 10 класс алимов номер 293. Алгебра номер 93. Самый сложный пример 11 класса.
293 номер алгебра 10 класс. Гдз по алгебре 10 класс алимов 293. Номер 293 по математике 6 класс. Гдз по алгебре 10 класс алимов колягин. 293 номер алгебра 10 класс.
293 номер алгебра 10 класс. Гдз по алгебре 10 класс алимов 293. Номер 293 по математике 6 класс. Гдз по алгебре 10 класс алимов колягин. 293 номер алгебра 10 класс.
Cos 293. 64 x кубе плюс 8 алгебра восьмой класс макарычев. 293 номер алгебра 10 класс. Алгебра 10 класс номер 294. Гдз по алгебре номер 293 11го класса.
Cos 293. 64 x кубе плюс 8 алгебра восьмой класс макарычев. 293 номер алгебра 10 класс. Алгебра 10 класс номер 294. Гдз по алгебре номер 293 11го класса.
Алгебра 11 класс примеры сложные. Алгебра 7 класс номер 293. 293 номер алгебра 10 класс. Математика 6 класс номер 774. Математика 6 класс номер 293.
Алгебра 11 класс примеры сложные. Алгебра 7 класс номер 293. 293 номер алгебра 10 класс. Математика 6 класс номер 774. Математика 6 класс номер 293.
Математика 5 класс страница 77 номер 293. Алгебра 7 класс номер 46. Алгебра 9 класс колягин н. Алгебра 9 класс номер 293. Гдз алимов 10-11 класс алгебра.
Математика 5 класс страница 77 номер 293. Алгебра 7 класс номер 46. Алгебра 9 класс колягин н. Алгебра 9 класс номер 293. Гдз алимов 10-11 класс алгебра.
Гдз по алгебре 10 класс алимов 293. Алгебра 10 класс алимов номер 293. Математика 5 класс 1 часть номер 293. Алгебра 23 номер. 293 номер алгебра 10 класс.
Гдз по алгебре 10 класс алимов 293. Алгебра 10 класс алимов номер 293. Математика 5 класс 1 часть номер 293. Алгебра 23 номер. 293 номер алгебра 10 класс.
293 номер алгебра 10 класс. Гдз по алгебре 10-11 класс алимов номер 294. Номер 774 учебника 6 класс. Гдз по алгебре 11 класс колягин. 293 номер алгебра 10 класс.
293 номер алгебра 10 класс. Гдз по алгебре 10-11 класс алимов номер 294. Номер 774 учебника 6 класс. Гдз по алгебре 11 класс колягин. 293 номер алгебра 10 класс.
293 номер. Гдз по алгебре 7 класс номер 294. 293 номер алгебра 10 класс. 293 номер алгебра 10 класс. 293 номер алгебра 10 класс.
293 номер. Гдз по алгебре 7 класс номер 294. 293 номер алгебра 10 класс. 293 номер алгебра 10 класс. 293 номер алгебра 10 класс.
Примеры по алгебре 11 класс. Алгебра 9 класс 293. Алгебра 9 класс номер 293. Алгебра номер 50. Гдз по алгебре 8 класс никольский номер 755.
Примеры по алгебре 11 класс. Алгебра 9 класс 293. Алгебра 9 класс номер 293. Алгебра номер 50. Гдз по алгебре 8 класс никольский номер 755.
Алимов 10-11 класс логарифмы. Математика 6 класс номер 293. Математика 6 класс номер 291. Гдз 293. 293 номер алгебра 10 класс.
Алимов 10-11 класс логарифмы. Математика 6 класс номер 293. Математика 6 класс номер 291. Гдз 293. 293 номер алгебра 10 класс.
293 номер алгебра 10 класс. Задачи алгебра задачи по алгебре 11 класс. Гдз по математике 6 класс мерзляк номер 293. Гдз по математике 6 класс мерзляк номер 293. 293 номер алгебра 10 класс.
293 номер алгебра 10 класс. Задачи алгебра задачи по алгебре 11 класс. Гдз по математике 6 класс мерзляк номер 293. Гдз по математике 6 класс мерзляк номер 293. 293 номер алгебра 10 класс.
Алимов математика 293 номер. Математика 6 класс номер 776. Алгебра 10 класс номер 292. Гдз 293. 293 номер алгебра 10 класс.
Алимов математика 293 номер. Математика 6 класс номер 776. Алгебра 10 класс номер 292. Гдз 293. 293 номер алгебра 10 класс.
Алгебра 7 класс номер 293. Алгебра 10 класс алимов номер 294. Работы по алгебре 8 класс номер 293. Гдз по алгебре 10 класс алимов. Гдз по математике 774 10 класс.
Алгебра 7 класс номер 293. Алгебра 10 класс алимов номер 294. Работы по алгебре 8 класс номер 293. Гдз по алгебре 10 класс алимов. Гдз по математике 774 10 класс.
293 номер алгебра 10 класс. 293 номер алгебра 10 класс. 293 номер алгебра 10 класс. 293 номер алгебра 10 класс. Алгебра девятый класс номер 291.
293 номер алгебра 10 класс. 293 номер алгебра 10 класс. 293 номер алгебра 10 класс. 293 номер алгебра 10 класс. Алгебра девятый класс номер 291.
Математика 10 класс алгебра алимов. Примеры по алгебре 11 класс. Гдз по математике 774 10 класс. Математика 6 класс номер 293. 293 номер алгебра 10 класс.
Математика 10 класс алгебра алимов. Примеры по алгебре 11 класс. Гдз по математике 774 10 класс. Математика 6 класс номер 293. 293 номер алгебра 10 класс.
Гдз по алгебре 10 класс алимов 293. 293 номер алгебра 10 класс. Математика 5 класс 1 часть номер 293. 293 номер алгебра 10 класс. Алгебра 7 класс номер 293.
Гдз по алгебре 10 класс алимов 293. 293 номер алгебра 10 класс. Математика 5 класс 1 часть номер 293. 293 номер алгебра 10 класс. Алгебра 7 класс номер 293.
Гдз 293. Работы по алгебре 8 класс номер 293. Алгебра девятый класс номер 291. Алгебра 7 класс номер 293. Алгебра 9 класс номер 293.
Гдз 293. Работы по алгебре 8 класс номер 293. Алгебра девятый класс номер 291. Алгебра 7 класс номер 293. Алгебра 9 класс номер 293.
Алгебра 10 класс алимов номер 294. Гдз по математике 6 класс мерзляк номер 293. Гдз по алгебре номер 293 11го класса. Номер 774 учебника 6 класс. Математика 6 класс номер 293.
Алгебра 10 класс алимов номер 294. Гдз по математике 6 класс мерзляк номер 293. Гдз по алгебре номер 293 11го класса. Номер 774 учебника 6 класс. Математика 6 класс номер 293.