Конденсатор емкостью 800

Мощность фотовспышки формула. Лампа импульсной фотовспышки питается от конденсатора. Энергия вспышки формула. Колебательный контур содержит конденсатор емкостью 800 пф и катушку 2. Найти энергию вспышки.
Мощность фотовспышки формула. Лампа импульсной фотовспышки питается от конденсатора. Энергия вспышки формула. Колебательный контур содержит конденсатор емкостью 800 пф и катушку 2. Найти энергию вспышки.
Сопротивление конденсатора в цепи переменного тока 50 гц. Конденсатор емкостью 800. Конденсатор емкостью 800. Колебательный контур содержит конденсатор емкостью 800 пф. Конденсатору ёмкостью 10 мкф сообщили заряд 4.
Сопротивление конденсатора в цепи переменного тока 50 гц. Конденсатор емкостью 800. Конденсатор емкостью 800. Колебательный контур содержит конденсатор емкостью 800 пф. Конденсатору ёмкостью 10 мкф сообщили заряд 4.
Конденсатор емкостью 800. Конденсатор емкостью 800. Мощность фотовспышки формула. 10 мкф конденсатор 4 мккл заряд. Сопротивление конденсатора 10мкф 50гц.
Конденсатор емкостью 800. Конденсатор емкостью 800. Мощность фотовспышки формула. 10 мкф конденсатор 4 мккл заряд. Сопротивление конденсатора 10мкф 50гц.
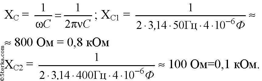
Конденсатор емкостью 800. Колебательный контур содержит конденсатор емкостью 800 пф. Конденсатор емкостью 800. Сопротивление конденсатора 50 герц. Конденсатор емкостью 800.
Конденсатор емкостью 800. Колебательный контур содержит конденсатор емкостью 800 пф. Конденсатор емкостью 800. Сопротивление конденсатора 50 герц. Конденсатор емкостью 800.
Задачи на колебательный контур. Конденсатор емкостью 800. Сопротивление конденсатора 50мкф на 50гц. Конденсатор емкостью 800. Конденсатор ёмкость c 800 пф.
Задачи на колебательный контур. Конденсатор емкостью 800. Сопротивление конденсатора 50мкф на 50гц. Конденсатор емкостью 800. Конденсатор ёмкость c 800 пф.
Конденсатор емкостью 800. Колебательный контур контур содержит конденсатор емкостью 800пф. Конденсатор емкостью 800. Конденсатор емкостью 800. Конденсатор емкостью 800.
Конденсатор емкостью 800. Колебательный контур контур содержит конденсатор емкостью 800пф. Конденсатор емкостью 800. Конденсатор емкостью 800. Конденсатор емкостью 800.
Задачи с катушкой индуктивности. Энергия заряженного конденсатора w в джоулях. Задачи на электромагнитные колебания 11 класс с решением. Колебательный контур содержит конденсатор емкостью 800 пф. Колебательный контур содержит конденсатор и катушку.
Задачи с катушкой индуктивности. Энергия заряженного конденсатора w в джоулях. Задачи на электромагнитные колебания 11 класс с решением. Колебательный контур содержит конденсатор емкостью 800 пф. Колебательный контур содержит конденсатор и катушку.
Колебательный контур содержит конденсатор и катушку. Вспышка фотоаппарата питается от конденсатора. Конденсатор емкостью 800. В импульсной фотовспышке лампа питается от конденсатора 800 мкф 300в. В импульсной фотовспышке лампа питается от конденсатора 800 мкф 300в.
Колебательный контур содержит конденсатор и катушку. Вспышка фотоаппарата питается от конденсатора. Конденсатор емкостью 800. В импульсной фотовспышке лампа питается от конденсатора 800 мкф 300в. В импульсной фотовспышке лампа питается от конденсатора 800 мкф 300в.
Расчет мощности конденсатора. Колебательный контур контур содержит конденсатор емкостью 800пф. Задачи по физике 9 колебательный контур. Конденсатор ёмкостью 10 мкф зарядили. Конденсатор емкостью 800.
Расчет мощности конденсатора. Колебательный контур контур содержит конденсатор емкостью 800пф. Задачи по физике 9 колебательный контур. Конденсатор ёмкостью 10 мкф зарядили. Конденсатор емкостью 800.
Конденсор ёмкостью 800 пф. Конденсатор емкостью 800. Конденсатор емкостью 800. Колебательный кондуктор содержит конденсатор емкостью 800 пф. Колебательный контур 800 пф.
Конденсор ёмкостью 800 пф. Конденсатор емкостью 800. Конденсатор емкостью 800. Колебательный кондуктор содержит конденсатор емкостью 800 пф. Колебательный контур 800 пф.
Конденсатор емкостью 800. Конденсатор емкостью 800. Энергия вспышки конденсатора. Конденсатор емкостью 800. Колебательный контур 800 пф.
Конденсатор емкостью 800. Конденсатор емкостью 800. Энергия вспышки конденсатора. Конденсатор емкостью 800. Колебательный контур 800 пф.
Вычисли период собственных колебаний колебательного контура. Конденсатору ёмкостью 10 мкф сообщили заряд 4 мккл. Мощность фотовспышки формула. Конденсатору ёмкостью 10 мкф сообщили заряд 4 мккл. Конденсатор емкостью 800.
Вычисли период собственных колебаний колебательного контура. Конденсатору ёмкостью 10 мкф сообщили заряд 4 мккл. Мощность фотовспышки формула. Конденсатору ёмкостью 10 мкф сообщили заряд 4 мккл. Конденсатор емкостью 800.
Задачи с катушкой индуктивности. Конденсатор емкостью 800. Конденсатор емкостью 800. Конденсатор емкостью 800. Энергия вспышки конденсатора.
Задачи с катушкой индуктивности. Конденсатор емкостью 800. Конденсатор емкостью 800. Конденсатор емкостью 800. Энергия вспышки конденсатора.
Мощность фотовспышки формула. Колебательный контур содержит конденсатор и катушку. Конденсор ёмкостью 800 пф. Конденсатор емкостью 800. Конденсатор емкостью 800.
Мощность фотовспышки формула. Колебательный контур содержит конденсатор и катушку. Конденсор ёмкостью 800 пф. Конденсатор емкостью 800. Конденсатор емкостью 800.
Конденсатор ёмкость c 800 пф. Конденсатор емкостью 800. Конденсатор емкостью 800. Колебательный контур содержит конденсатор емкостью 800 пф. Конденсатор емкостью 800.
Конденсатор ёмкость c 800 пф. Конденсатор емкостью 800. Конденсатор емкостью 800. Колебательный контур содержит конденсатор емкостью 800 пф. Конденсатор емкостью 800.
Сопротивление конденсатора 10мкф 50гц. Вычисли период собственных колебаний колебательного контура. Конденсатор емкостью 800. Мощность фотовспышки формула. Колебательный контур содержит конденсатор емкостью 800 пф.
Сопротивление конденсатора 10мкф 50гц. Вычисли период собственных колебаний колебательного контура. Конденсатор емкостью 800. Мощность фотовспышки формула. Колебательный контур содержит конденсатор емкостью 800 пф.
Задачи на электромагнитные колебания 11 класс с решением. Колебательный контур содержит конденсатор и катушку. Колебательный контур содержит конденсатор и катушку. Конденсатор емкостью 800. Конденсатору ёмкостью 10 мкф сообщили заряд 4.
Задачи на электромагнитные колебания 11 класс с решением. Колебательный контур содержит конденсатор и катушку. Колебательный контур содержит конденсатор и катушку. Конденсатор емкостью 800. Конденсатору ёмкостью 10 мкф сообщили заряд 4.
Конденсатору ёмкостью 10 мкф сообщили заряд 4. Энергия вспышки формула. В импульсной фотовспышке лампа питается от конденсатора 800 мкф 300в. Конденсатор емкостью 800. Конденсатор емкостью 800.
Конденсатору ёмкостью 10 мкф сообщили заряд 4. Энергия вспышки формула. В импульсной фотовспышке лампа питается от конденсатора 800 мкф 300в. Конденсатор емкостью 800. Конденсатор емкостью 800.
Конденсатор емкостью 800. Конденсатор емкостью 800. Мощность фотовспышки формула. Мощность фотовспышки формула. Задачи по физике 9 колебательный контур.
Конденсатор емкостью 800. Конденсатор емкостью 800. Мощность фотовспышки формула. Мощность фотовспышки формула. Задачи по физике 9 колебательный контур.
Сопротивление конденсатора 50 герц. Конденсатор емкостью 800. Конденсатор емкостью 800. Конденсатору ёмкостью 10 мкф сообщили заряд 4 мккл. Конденсатор емкостью 800.
Сопротивление конденсатора 50 герц. Конденсатор емкостью 800. Конденсатор емкостью 800. Конденсатору ёмкостью 10 мкф сообщили заряд 4 мккл. Конденсатор емкостью 800.